Hadiah 10 Milyar Jika Anda Bisa Menyelesaikan "Problem Matematika Beal Prize Conjecture"
Nah bagi para pembaca yang pintar matematika siapa tahu aja uang 10 milyar rupiah atau sekitar $ 1 juta dollar akan menjadi milik anda.
Baru-baru ini Texas bankir dan otodidak matematika D. Andrew Beal telah meningkatkan hadiah uang tunai untuk membuktikan dugaan ia ditemukan pada tahun 1993. Beal memberikan hadiah uang tunai $ 1.000.000 bagi orang pertama untuk membuktikan dugaan Beal, sebuah cabang dari Fermat bukti Teorema terakhir legendaris yang diselesaikan oleh Andrew Wiles pada tahun 1994.
Inilah Teorema Terakhir Fermat yang belum terpecahkan selama ratusan tahun ( langsung versi bahasa Inggrisnya ya)
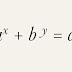
Dugaan Beal terkait. Jika a, b, c, x, y, dan z adalah semua bilangan bulat positif dan x, y, z lebih besar dari dua, ax + by = cz hanya mungkin bila a, b dan c memiliki faktor prima umum. Beal ditemukan selama perhitungan bahwa satu-satunya solusi untuk persamaan adalah ketika a, b dan c memiliki faktor umum - seperti bagaimana 8, 6 dan 10 semua memiliki faktor umum 2 - sehingga ia menghubungi orang-orang dalam dunia akademis untuk mengkonfirmasi bahwa masalah yang baru, kemudian mendirikan hadiah dengan AMS untuk orang yang membuktikan dugaan itu. Jadi, jika Anda menemukan bukti atau counterexample untuk dugaan Beal yang akan disetujui oleh komite American Mathematical Society (AMS), ditunjuk dan masuk ke jurnal, Anda mendapatkan satu juta dolar.
Untuk sumber lengkapnya di http://ns3.ams.org/bealprize.html
Jika bisa menyelesaikan sharing disini ya..hehe
Baru-baru ini Texas bankir dan otodidak matematika D. Andrew Beal telah meningkatkan hadiah uang tunai untuk membuktikan dugaan ia ditemukan pada tahun 1993. Beal memberikan hadiah uang tunai $ 1.000.000 bagi orang pertama untuk membuktikan dugaan Beal, sebuah cabang dari Fermat bukti Teorema terakhir legendaris yang diselesaikan oleh Andrew Wiles pada tahun 1994.
Inilah Teorema Terakhir Fermat yang belum terpecahkan selama ratusan tahun ( langsung versi bahasa Inggrisnya ya)
![]() |
Beal Prize Conjecture |
If Ax + By = Cz , where A, B, C, x, y and z are positive integers and x, y and z are all greater than 2, then A, B and C must have a common prime factor.[By way of example, 33 + 63 = 35, but the numbers that are the bases have a common factor of 3, so the equation does not disprove the theorem; it is not a counterexample.]
Dugaan Beal terkait. Jika a, b, c, x, y, dan z adalah semua bilangan bulat positif dan x, y, z lebih besar dari dua, ax + by = cz hanya mungkin bila a, b dan c memiliki faktor prima umum. Beal ditemukan selama perhitungan bahwa satu-satunya solusi untuk persamaan adalah ketika a, b dan c memiliki faktor umum - seperti bagaimana 8, 6 dan 10 semua memiliki faktor umum 2 - sehingga ia menghubungi orang-orang dalam dunia akademis untuk mengkonfirmasi bahwa masalah yang baru, kemudian mendirikan hadiah dengan AMS untuk orang yang membuktikan dugaan itu. Jadi, jika Anda menemukan bukti atau counterexample untuk dugaan Beal yang akan disetujui oleh komite American Mathematical Society (AMS), ditunjuk dan masuk ke jurnal, Anda mendapatkan satu juta dolar.
Untuk sumber lengkapnya di http://ns3.ams.org/bealprize.html
Jika bisa menyelesaikan sharing disini ya..hehe
Hadiah 10 Milyar Jika Anda Bisa Menyelesaikan "Problem Matematika Beal Prize Conjecture"
Reviewed by Putra
on
1:13:00 PM
Rating:

No comments: